Η ολομέλεια του ισραηλινού υπουργικού συμβουλίου ενέκρινε τις πρώτες πρωινές ώρες της Παρασκευής, την πρώτη φάση του σχεδίου του Ντόναλντ Τραμπ για τον τερματισμό του πολέμου στη Γάζα, και την επιστροφή όλων των ομήρων (και των σορών των νεκρών), σύμφωνα με ανακοίνωση του γραφείου του πρωθυπουργού.
The government has just now approved the framework for the release of all of the hostages – the living and the deceased.
— Prime Minister of Israel (@IsraeliPM) October 9, 2025
Νωρίτερα συνεδρίασε το υπουργικό συμβούλιο ασφαλείας στο γραφείο του Μπενιαμίν Νετανιάχου, ενώ στη συνεδρίαση παραβρέθηκαν οι απεσταλμένοι των ΗΠΑ Στιβ Γουίτκοφ και Τζάρεντ Κούσνερ.
«Όλα αυτά δεν θα ήταν δυνατά χωρίς τη γενναιότητα των Ισραηλινών Δυνάμεων»
«Προφανώς, η επιστροφή των ομήρων στην πατρίδα αποτελεί προτεραιότητα για τον Πρόεδρο Τραμπ εδώ και πολύ καιρό και όλοι έχουμε εργαστεί ακούραστα για να το πετύχουμε αυτό», είπε ο Κούσνερ.
«Όλα αυτά δεν θα ήταν δυνατά χωρίς τη γενναιότητα των Ισραηλινών Αμυντικών Δυνάμεων και των στρατιωτών τους, χωρίς αυτά που έχουν καταφέρει όχι μόνο στη Γάζα, αλλά σε όλες τις επιχειρήσεις τους στο πεδίο της μάχης τα τελευταία δύο χρόνια, για να εξαλείψουν τη Χεζμπολάχ στο βορρά και να την υποβαθμίσουν πραγματικά», συνέχισε.
«Αυτό που καταφέρατε να κάνετε στο Ιράν, βοήθησε πραγματικά να περάσει το μήνυμα», είπε. «Αλλά και ο «στρατός των πολιτών» του Ισραήλ – ξέρετε, πολλοί από εσάς έχετε κάνει θυσίες για να πολεμήσετε για τη χώρα σας προσπαθώντας να κάνετε τη διαφορά – νομίζω ότι αυτό έκανε μια πολύ, πολύ μεγάλη διαφορά εκεί».
Ο Κούσνερ τόνισε ότι ο πρωθυπουργός Μπενιαμίν Νετανιάχου «έκανε πραγματικά απίστευτη δουλειά για τη συμφωνία και εξαιρετική δουλειά με τις διαπραγματεύσεις».
«Κρατήσατε σταθερές τις θέσεις σας και νομίζω ότι εσείς και ο Πρόεδρος Τραμπ συμφωνούσατε πλήρως για το ποια θα έπρεπε να είναι η τελική κατάσταση», κατέληξε.
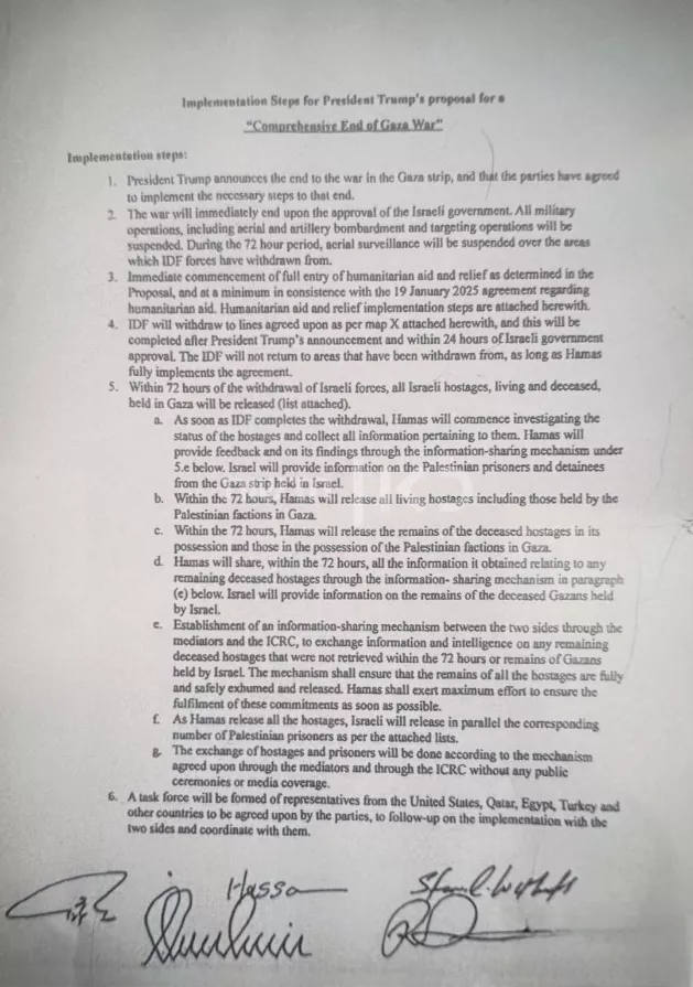
Κατάπαυση του πυρός, ανταλλαγή ομήρων και ροή ανθρωπιστικής βοήθειας
Με την επικύρωση του σχεδίου Τραμπ, ο βομβαρδισμός της Γάζας αναμένεται να σταματήσει – με άλλα λόγια, θα υπάρξει πλήρης κατάπαυση του πυρός – εντός 24 ωρών.
Η Χαμάς έχει στη συνέχεια τρεις ημέρες για να επιστρέψει τους ομήρους και τα ισραηλινά στρατεύματα θα αποσυρθούν εν μέρει από τη Γάζα. Η συμφωνία περιλαμβάνει το άνοιγμα της μεθοριακής διάβασης της Ράφα και προς τις δύο κατευθύνσεις.
Αναμένεται επίσης ροή ανθρωπιστικής βοήθειας στη Γάζα και απελευθέρωση κρατουμένων από το Ισραήλ.
Χαμάς: «Κηρύσσουμε το τέλος του πολέμου»
Ο εξόριστος ηγέτης της Χαμάς στη Γάζα Χαλίλ αλ Χάγια ανακοίνωσε νωρίτερα ότι η οργάνωση έλαβε εγγυήσεις από τις ΗΠΑ, τους Άραβες μεσολαβητές και την Τουρκία ότι ο πόλεμος στον παλαιστινιακό θύλακα έληξε οριστικά.
«Κηρύσσουμε το τέλος του πολέμου σήμερα και την έναρξη της μόνιμης εκεχειρίας», είπε ο αλ Χάγια, σύμφωνα με το πρακτορείο Reuters.
Η οργάνωση έλαβε εγγυήσεις από τους μεσολαβητές και την αμερικανική κυβέρνηση, που όλοι τους επιβεβαίωσαν ότι ο πόλεμος τελείωσε τόνισε.
Οι ισραηλινές δυνάμεις θα υποχωρήσουν στη γραμμή που δείχνει ο χάρτης του Guardian.

Ομάδα 200 Αμερικανών στρατιωτών θα «επιβλέπει» την εκεχειρία
Μια αμερικανική στρατιωτική ομάδα 200 ατόμων θα αναπτυχθεί στη Μέση Ανατολή για να «επιβλέπει» την εκεχειρία στη Γάζα μεταξύ Ισραήλ και Χαμάς, μετά από την ειρηνευτική συμφωνία που επιτεύχθηκε με τη μεσολάβηση του προέδρου Ντόναλντ Τραμπ, δήλωσαν ανώτεροι Αμερικανοί αξιωματούχοι.
Ο ναύαρχος Μπραντ Κούπερ, επικεφαλής της Κεντρικής Διοίκησης του αμερικανικού στρατού, «θα έχει αρχικά 200 άτομα επί τόπου. Ο ρόλος του θα είναι να επιβλέπει, να παρατηρεί, να διασφαλίζει ότι δεν υπάρχουν παραβιάσεις», δήλωσε στους δημοσιογράφους ανώτερος αξιωματούχος.
Στρατιωτικοί αξιωματούχοι από την Αιγύπτιο, το Κατάρ, την Τουρκία και πιθανώς τα ΗΑΕ θα ενσωματωθούν στην ομάδα, συμπλήρωσε. Ένας δεύτερος αξιωματούχος είπε ότι «δεν πρόκειται να εισέλθουν αμερικανικά στρατεύματα στη Γάζα».
Πηγή: skai.gr





































